8,8 % Zinsen und die teuerste Stadionwurst bei der EM 2024
Das freaky finance Wochenupdate
Heute möchte ich dir die Gelegenheit geben, mal wieder in mein kostenloses Wochenupdate reinzuschnuppern. Die Finanzbombe verschicke ich jeden Freitag an alle Abonnenten. Falls du noch kein Abonnent bist und einfach mal unverbindlich schauen möchtest, was in diesem Format geboten wird, ist das DIE Gelegenheit!
Hinweis: Diese Woche gibt es die Finanzbombe ausschließlich in Form dieses Blogartikels!
Diese Woche habe ich folgende Themen für dich in der Finanzbombe aufbereitet:
- 8,8 % Zinsen und neue Aktion mit Aktien im Wert von bis zu 800 USD geschenkt bei FREEDOM24
- Börsenstammtisch am 28.06. ab 16:30 Uhr in Wien
- Wissenswertes über vorzeitige Ausübungen bei Calls
- Bier- und Wurstpreise in den EM Stadien
- Meine Aktienkäufe und Covered Calls
Und vieles mehr!
Falls dir gefällt, was du gleich liest, kannst du hier Abonnent werden. Ganz einfach und wie gesagt kostenlos.
Direkt zum aktuellen Content
Aktueller Artikel:
👉 Wissenswertes zur vorzeitigen Ausübung von Short
Calls
Aktuelle Podcastfolge:
👉 freaky finance fragt... den Kasseltrader Carsten Sippel [Interview über Börse und
Optionshandel]
Videoempfehlung:
👉 Auswege aus der Covered
Call-Falle: "Konter"-Put, Option rollen, Delta Hedging oder ausüben lassen
Falls du die letzte Finanzbombe verpasst hast...
Es gab wieder reichlich heiße Themen:
Was taugen Genossenschaftsanteile? |
Börsenstammtisch am 28.06. ab 16:30 Uhr in Wien
Aus der letzten Finanzbombe:
- Genossenschaftsanteile als risikoarme
Anlagemöglichkeit?
- Optionshandel auch für kleinere Depot lukrativ
- Finanztreffen am Freitag in Wien kostenlos und für jedermann
- 10 % Rabatt für die Cashflow Conference
Und vieles mehr!
👉 zur
letzten Finanzbombe
Aktuelles:
Seit dieser Woche gibt es den freaky finance WhatsApp Kanal.
Dort versende ich immer sofort die neuesten Informationen rund um freaky finance direkt auf die Handys der Abonnenten. Für Telegram gibt es das schon länger - aber nicht jeder möchte Telegram benutzen. Nun besteht die Möglichkeit, die News auf WhatsApp zu sehen.
👉 folge jetzt dem freaky finance WhatsApp Kanal
Aktion bei FREEDOM24:
8,8 % Zinsen und Aktien im Wert bis zu 800 USD geschenkt
Als ich im Mai auf Zypern war, habe ich den Broker FREEDOM24* besucht und anschließend
ausführlich in der Finanzbombe vom 17.05.2024 darüber berichtet. Dort gibt es unter anderem
attraktive Zinsen auf Tages- und Festgeld - es winken bis zu 8,8 % Zinsen. Außerdem lassen sich dort Closed-end Funds (CEFs) und US-ETFs ohne Einschränkungen
handeln. Diese Dinge sind ja ansonsten als EU-Bürger kaum noch zu bekommen.
👉 Was sind Closed-end Funds (CEFs)?
👉 Wie dir Optionen Zugang zum US-amerikanischen ETF-Markt gewähren
Hinweis: Mit FREEDOM24 kannst du dir den Umweg über die Optionen ersparen! Dort sind die US-ETFs unmittelbar handelbar.
Jedenfalls startet am Montag (1. Juli) eine neue Aktion bei FREEDOM24*, bei der man Aktien geschenkt bekommt. Wenn man die Bedingungen erfüllt, bekommt man auf jeden Fall welche - die Frage ist nur, welche genau...
Ich habe nach der Eröffnung meines FREEDOM24-Accounts auch an einer solchen Aktion teilgenommen und 3 Aktien aus dem unteren Preissegment bekommen - immerhin ca. 40 € geschenkt und etwas Dividende gab es auch schon. Besser als nix, und vielleicht hast du ja mehr Glück!
👉 zu FREEDOM24*
Nachfolgend kannst du die ersten Informationen zu der Aktion nachlesen. Und am Montag wird die Landingpage mit weiteren Details online gehen.
Aktionszeitraum:
1.Juli 2024 - 31. August 2024
Das Angebot gilt für:
- Kunden, die sich vom 1. Mai 2024 bis zum 31. August 2024 bei Freedom24 registriert haben.
- Kunden, die vom 1. Juli 2024 bis zum 31. August 2024 eine Einzahlung vorgenommen haben.
Verwendung der Promo-Codes:
- Jeder Promo-Code kann nur einmal verwendet werden.
- Laden Sie Ihr Konto mit dem angegebenen Betrag auf, um Geschenk-Aktien im Wert von bis zu 800 USD pro Aktie zu erhalten.
Angebote:
-
Das Konto mit 5.000 € oder mehr aufladen
- Verwenden Sie den Promo-Code WELCOME5, um 3 Geschenk-Aktien im Wert zwischen 4 und 800 USD pro Aktie zu erhalten.
-
Das Konto mit 20.000 € oder mehr aufladen
- Verwenden Sie die Promo-Codes WELCOME20 und WELCOME5 nacheinander, um 10 Geschenk-Aktien im Wert zwischen 4 und 800 USD pro Aktie zu erhalten.
-
Das Konto mit 50.000 € oder mehr aufladen
- Verwenden Sie die Promo-Codes WELCOME50, WELCOME20 und WELCOME5 nacheinander, um 20 Geschenk-Aktien im Wert zwischen 4 und 800 USD pro Aktie zu erhalten.
Du kannst also jetzt schon das Konto eröffnen und dann ab Montag einzahlen, damit du an der Aktion teilnehmen kannst. Viel Erfolg!
👉 zu FREEDOM24*
Mit der Cashflow Conference am 12. und 13 Juli in Stuttgart steht ein Event in den Startlöchern, das seinesgleichen sucht!
Ein heißer Sommer bahnt sich an!
Dirk Kreuter, Gerald Hörhan, Philip Hopf und viele, viele andere Speaker sind dabei! Du auch?
Für die freaky finance Community konnte ich noch einen zusätzlichen 10 % Rabatt aushandeln. Günstiger wirst du kein Ticket für dieses Megaevent bekommen können!
Neugierig, wer alles schon bestätigt dabei ist? Check es ab:
👉 Cashflow Conference 2024: Alle Infos und vergünstigte Tickets*
Der Rabattcode lautet "freaky10" (ohne Anführungsstriche)
Cashflow - genau meine Nummer!
Zusammen mit Thorsten Eberhart halte ich einen Vortrag (Freitag) und einen Deep Dive (Samstag).
Auf jeden Fall würde ich mich riesig freuen, möglichst viele Leute aus der Freak Nation dort zu treffen.
In der ICS Messe Stuttgart kommen Finanzinteressierte, Cashflowjunkies und hochkarätige Speaker zusammen. Dabei reichen die Themen vom nachhaltigen Kapitalaufbau über smarte Investments bis zur Generierung von passivem Einkommen. Bei der Cashflow Conference dreht sich auf den 5 Stages sowie in den über 80 Masterclasses und Workshops alles um die Themen Finanzen und Investments. Die Schwerpunkte liegen dabei auf Investments in Immobilien, Aktien und ETFs, Kryptowährungen sowie Business- und alternative Themen, wie z. B. Sneaker, Uhren, Autos, Edelmetalle und nachhaltige Investments.
Stage 1 Immo-Stage
Immobilien-Investments
Stage 2 Capital-Stage
Investieren an der Börse: Aktien und ETFs
Stage 3 Krypto-Stage
Kryptowährungen, Blockchain, NFTs und Co.
Stage 4 Diversity-Stage
Sneaker, Uhren, Autos, Edelmetalle und Co.
Expo-Stage
Kleine Stage im Ausstellerbereich Stage 5
Noch schnell den Vorteilspreis sichern:
👉 Cashflow Conference 2024: Alle Infos und vergünstigte Tickets*
Der Rabattcode lautet "freaky10" (ohne Anführungsstriche)
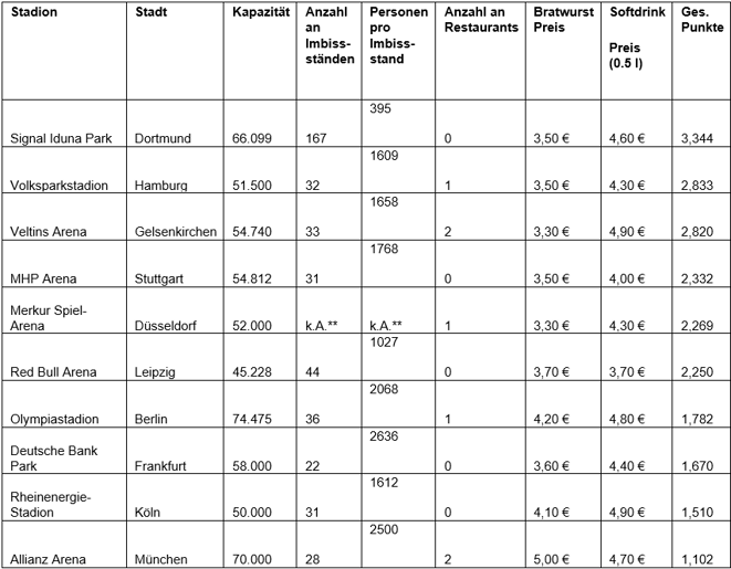
Die Fußball-Europameisterschaft in Deutschland ist in vollem Gange. Tausende von Fans strömen im nächsten Monat in die größten und besten deutschen
Stadien, und viele von ihnen werden sich auf ein kaltes Getränk und eine Bratwurst freuen, um den Spieltag zu erleben. Doch welches Stadion bietet hungrigen Fußballfans die meiste Auswahl zu den
günstigsten Preisen?
Das hat sich der Sportwettenanbieter Betway genauer angeschaut und folgende Erkenntnisse aus der
Recherche gezogen:
- Wenn es um die günstigsten Bratwürste geht, teilen sich die Merkur Spiel-Arena in Düsseldorf und die Veltins-Arena in Gelsenkirchen die Krone, mit Bratwürsten für jeweils 3,30 € in beiden Stadien.
- Die drei Stadien mit den teuersten Speise- und Getränkepreisen sind die Allianz Arena in München, gefolgt von einem Gleichstand zwischen dem Olympiastadion Berlin und dem Rheinenergiestadion Köln. Alle drei Stadien verkaufen Bratwürste und Softdrinks zu Preisen nahe der 5 €-Marke.
- Die Red Bull Arena in Leipzig, Heimat von RB Leipzig, ist die einzige Arena, in der Fans einen 0,5l Softdrink für unter 4 € bekommen können. Das Stadion wird gefolgt von der MHP Arena in Stuttgart, wo die Getränke etwas teurer, aber immer noch vergleichsweise günstig sind, bei 4 € pro 0,5l.
*Alle Daten stellen das Essensangebot in jedem Stadion während der regulären Saison genau dar und können sich während der
Europameisterschaft aufgrund der Übernahme durch die UEFA ändern.
**Nicht verfügbare Daten wurden im Ranking nicht berücksichtigt.
Weitere Informationen zur Recherche und den kompletten EM-Leitfaden von Betway findest du hier.
Wertpapierverkäufe und Käufe
Keine
Käufe
100 Stück Wynn Resorts zu je 92,50 $
100 Stück Alibaba zu je 80,00 $
Beide Aktien wurden mir über einen Short Put eingebucht. Habe bereits Covered Calls verkauft.
Informationen über hoch ausschüttende Wertpapiere:
REITs - Real Estate Investment Trusts (überarbeitet und erweitert)
BDCs (Business Development Companies)
Einblick in mein Depot
Seit einiger Zeit probiere ich Parqet für die Portfolioanalyse. Im Monatsabschluss teile ich darüber auch mein REITs-Depot. An dieser Stelle will ich mal mein Finanzen-Net ZERO-Depot zeigen,
das ich letztes Jahr im Februar wieder angefangen habe zu befüllen. Da sind einige schöne Dividendenaktien drin. Auch meinen neuesten Kauf kannst du da sehen.
👉 Link
zur Visualisierung meines ZERO-Depots via Parqet
👉 Link zu
Parqet, falls du es auch mal kostenlos ausprobieren möchtest
👉 Link zu Finanzen NET ZERO (kostenlose Wertpapierkäufe ab 500 € Transaktionsvolumen)
Bei aktiver Nutzung des Depots erhältst du eine Gratisaktie! (Teilnahmebedingungen)
Bei getquin habe ich bisher meine Depots bei Scalable Capital, der comdirect und der Consorsbank verbunden. Nutzt du schon
die coolen Features bei getquin?
Wenn nicht, probiere es mal aus! Kost' nix und hat tolle Funktionen.
Du kannst dein Depot oder Teile davon mit der Anwendung verbinden. Es gibt einen Dividenden-Forecast, du kannst die Depots der Leute sehen, denen du folgst und
erfährst deren Transaktionen. Ein Austausch in der Community ist ebenfalls möglich. Du findest mich auf getquin unter @freakyfinance
👉 so,
jetzt erstmal kostenlos die App downloaden und Depot verbinden!
Hinweis: Die Links in diesem Absatz funktionieren nur auf dem Smartphone, weil es eine App ist.
Optionshandel
Sämtliche Transaktionen in meinem kleinen Depot kannst du in meinem Trading Logbuch sehen.
Wenn du dich einer vergleichsweise entspannten Variante des Optionshandels anschließen willst, kann ich dir den STILLHALTER-Brief ans Herz legen: Betreutes Traden mit soliden Ergebnissen. Dir werden die Handelsentscheidungen abgenommen und dein Aufwand auf weniger als 10 Minuten in der Woche reduziert.
👉 Jetzt STILLHALTER-Brief Abonnent werden und mitverdienen
Cashflow-Event auf Zypern im Frühjahr 2025
Mit dem Beantworten der 3 kurzen Fragen kannst du uns helfen, das Event nach deinen Wünschen zu gestalten. Vor allem kannst du dich hier völlig
unverbindlich und kostenlos auf die Interessentenliste setzen. Damit stellst du sicher, dass du keine weiteren Informationen zu dem Event verpasst. Über deine tatsächliche Teilnahme
kannst du zu einem späteren Zeitpunkt final entscheiden.
👉 Interessentenliste und Kurzfragebogen Cashflow Zypern-Event
Nach wie vor gibt es folgende Vergünstigungen:
Den O4W Best Indicator kannst du mit 10 % Rabatt über folgenden Link erwerben:
👉 O4W Best Indicator mit 10 % Rabatt erwerben!*
Wenn du Mitglied in Thorstens O4W Winners Club werden möchtest, kann ich dir auch dafür 10 % Rabatt anbieten. Der O4W Best Indicator ist
übrigens in der Club-Mitgliedschaft bereits enthalten und muss nicht noch zusätzlich erworben werden. Nutze den folgenden Link:
👉 Jetzt Mitglied mit 10 % Rabatt Mitglied im O4W Winners Club werden!*
Meine Webinare mit Kasseltrader Carsten - jetzt Aufzeichnungen erwerben:
Im Webinar "Auswahl der Underlyings für den Optionshandel" sind Kasseltrader Carsten und meine Wenigkeit die Referenten. Wir
zeigen, wie man eine Watchlist mit geeigneten Topwerten füllt und auf welcher Grundlage dann ggf. Puts verkauft werden.
Alle Informationen und die Kaufmöglichkeit habe ich auf folgender Seite zusammengefasst:
👉 Webinaraufzeichnung Underlyingauswahl für den Optionshandel
Zusätzlich ist natürlich auch die Aufzeichnung unseres Einsteiger-Webinars "Von NULL auf HUNDERT mit Optionen" erhältlich:
👉 Webinar: Von NULL auf HUNDERT mit Optionen (Aufzeichnung vom 8.5.23)
Zahlst du noch mehr als 2 USD Gebühren pro Kontrakt beim Optionshandel?
Das muss nicht sein!
Weil ARMO Broker die
günstigsten Handelsgebühren unter den IB-Resellern anbietet! Über meinen Empfehlungslink und mit dem Code "freaky" (bei der Kontoeröffnung in das Feld Gutscheincode
eintragen).
Bei diesem Broker bekommst du einen festen Ansprechpartner und deutschsprachigen Support. Ab 2.000 Euro Einlage
kostet ein US-Kontrakt 2 USD (statt 3,30 USD), und Euro Optionen handelst du direkt für 1,60 Euro statt der normalen 1,90 Euro.
Aber auch der ganz normale Aktienhandel ist hier unschlagbar günstig.
Hier kannst du Aktien weltweit günstig an ihren Heimatbörsen handeln. Auch Papiere, die über die üblichen deutschen Depotbanken nicht oder nur sehr teuer zu
beziehen sind! US-Aktien kannst du beispielsweise direkt an der Heimatbörse ab 2 USD pro Transaktion handeln!
50 € Cashback bekommen ARMO Kunden, die in den ersten 3 Monaten nach der Kontoeröffnung mindestens 100 € an Gebühren dort verursacht
haben.
Auch wenn du bereits ein Konto bei IB, Lynx, Captrader, Agora oder wo anders hast, kannst du problemlos zusätzlich einen ARMO Account anlegen. In der Folge lassen
sich sogar deine bestehenden Positionen ganz einfach zwischen den Konten hin- und her transferieren. Das geht in Sekundenschnelle! Probleme in Form einer "Sperre" gibt es manchmal, wenn man von
einem Reseller zu IB direkt wechseln möchte. Innerhalb der verschiedenen Reseller gibt es diese Hürde nicht!
ARMO versichert sogar, dass man Wechselwillige, die später (nach mindestens 12 Monaten bei ARMO) zu IB direkt gehen möchten, NICHT sperrt und eben ziehen
lässt!
Aus meinem Leben
Ich weile bis Dienstag in Wien! Gestern bin ich mittags angekommen und hatte schon einen tollen Tag in der wunderschönen Hauptstadt Österreichs.
Heute schließe ich mich einem Börsenstammtisch in Wien an - organisiert und durchgeführt von Clemens Faustenhammer von The Dividendpost und der örtlichen Finanzwesir-Zelle. Falls du in der Nähe bist und auch Lust hast, dich mit finanzinteressierten Leuten auszutauschen, kannst du gerne dazukommen. Das Treffen startet um 16.30 Uhr im Campus Bräu (Adresse: Wiedner Gürtel 1, 1100 Wien). Heute wird KEIN Spiel der Fußball-Europameisterschaft ausgetragen, so dass wir uns komplett auf die Finanzgespräche konzentrieren können.
Aktuelle Artikel im Blog
👉 Einnahmenreport Mai: Alles so lala und trotzdem 8k
👉 Anpassungen bei meinen Wertpapier-Sparplänen
👉 Optionen Know How: Keine Angst vor vorzeitigen Ausübungen
Aktuelle YouTube-Videos
👉 freaky finance fragt... den Kasseltrader Carsten Sippel [Interview über Börse und Optionshandel]
👉 Optionssprechstunde LIVE: Eure Rückmeldungen, Fragen und Wünsche in der Staffelpause 💪
👉 Die
Einkommensoptionäre: Strategie-Mix für eine gute Performance in jeder Marktphase (Teil 2)
Du willst mehr? Dann werde Mitglied in der freaky finance Cashflow-Lounge!
Bis nächste Woche
Vincent
Werde Teil der Freak Nation Community
Hat dir der Artikel gefallen? Gib meiner Facebook-Seite einen Daumen und abonniere mein Wochenupdate "Die Finanzbombe". Beides kannst du auch oben rechts in der Sidebar erledigen.
So verpasst du keine neuen Inhalte und bekommst zusätzlich nützliche Tipps.
Wenn du noch schneller über Neuigkeiten im freaky finance Universum und rund um meine Finanzen informiert werden möchtest, dann abonniere bitte meinen Broadcast-Channel beim Messenger-Service Telegram.
👉 Folge dazu diesem Link: https://t.me/freaky_finance_Broadcast
Meine Käufe und Verkäufe gibt es in Echtzeit in der freaky finance Lounge. Dort wurden auch weitere Teile des umfangreichen Finanzkurses freigeschaltet. Was die Lounge sonst noch zu bieten hat, erfährst du auf der entsprechenden Unterseite:
Die freaky finance Telegramgruppen:
Wenn du magst, folge den Links und komm einfach dazu:
👉 Telegram-Gruppe "Optionshandel für Anfänger" (ca. 1.500 Mitglieder)
👉 Aktien, Dividenden und Diverses (ca. 1.200 Mitglieder)
Die freaky finance Facebookgruppe:
Eines Tages hatte ich die spontane Idee, eine Facebook-Gruppe zu gründen. Darin wird munter über Finanzthemen diskutiert. Bereits deutlich über 1.100 Freaks und Freakinnen füllen die Community heute mit Leben! Ein kleiner, aber feiner Wachstumswert würde ich sagen.
Auch der Spaß kommt dort nicht zu kurz. Wir freuen uns über weitere Mitglieder, und ich möchte dich herzlich einladen, dabei zu sein. Auch die lieben Blogger-KollegInnen dürfen sehr gerne dazukommen und die Gruppe bereichern!
Das könnte dich auch interessieren
beliebtester Artikel
* = Affiliate Link
Transparenz: Bei mit einem * gekennzeichneten Link handelt es sich um einen Affiliate Link. Wenn du dich über einen solchen Link anmeldest oder etwas kaufst, hast du dadurch keinerlei Nachteile und bekommst vielleicht sogar ein kleines Startpräsent o. ä. - vor allem unterstützt du damit aber meinen Blog.
Und dafür sage ich an dieser Stelle bereits DANKE!




Kommentar schreiben