Top-Strategien, neue Investments & starke Tools: Meine persönlichen Highlights und Chancen des Monats
Depot-Update November 2025
Heute gibt es den Report meiner Depotbewegungen (Käufe und Verkäufe), meine vereinnahmten Dividenden und meine Performance beim Handel mit Aktienoptionen im November.
Alle weiteren Einnahmen, wie Zinsen aus P2P-Krediten, Crowdinvesting, Mieteinnahmen (Wohnungen, Keller, Transporter), den zusammengefassten Einnahmenreport und die Entwicklung meines Gesamtvermögens - alles bezogen auf den Vormonat - gibt es in ein paar Tagen zusammen mit den üblichen Blognews und einem Ausblick sowie Ankündigungen für den aktuellen Monat.
Schauen wir also auf meine Depotbewegungen, Dividenden und Einnahmen aus dem Optionshandel.
Meine Aktienkäufe
Es gibt unterschiedliche Wege, über die neue Aktien in mein Portfolio gelangen. Im Prinzip sind das Sparpläne, Direktkäufe und Andienungen über den Optionshandel.
Aktien- und ETF-Sparpläne
Meine Sparpläne laufen alle entweder bei Trade Republic* oder Scalable Capital Broker*. Die beiden Neobroker bieten Sparpläne komplett gebührenfrei an - egal ob auf Aktien oder ETFs!
Meine Investitionssumme in Sparpläne betrug im November 7.400 €.
Neue Sparpläne:
- Monster Beverage
- RTX Corporation
- Zoetis
Sparplan wieder aufgenommen:
- Meta
Den Sparplan auf LVMH habe ich von Scalable Capital zu Trade Republic umgesiedelt, weil dort die Vorabreduzierung der französischen Quellensteuer funktioniert. Das ist ein krasser Vorteil! Bei der Gelegenheit habe ich die Sparrate von 50 € auf 100 € erhöht.
Nachfolgend stelle ich dir wieder ein aussagekräftiges PDF von InvestingPro zur Verfügung. Diesmal geht es um das Tiergesundheits-Unternehmen Zoetis, das laut InvestingPro derzeit eine Unterbewertung von gut 28 % aufweist. Wie oben erwähnt, habe ich einen Sparplan auf die Aktie gestartet.
- Detaillierte Research-Berichte zu den 1.400 beliebtesten US-Aktien
- Fundierte Finanzanalysen, die keine Fragen offenlassen
- Klare Insights zur finanziellen Gesundheit jedes Unternehmens
- Exklusive ProTips, die Sie direkt in die Praxis umsetzen können
.
Suchst du ein verlässliches Tool, das dir hilft, fundierte Anlageentscheidungen zu treffen und deine Rendite zu maximieren? Dann ist InvestingPro* genau das Richtige für dich!
Mit einer Kombination aus fortschrittlicher KI-Technologie, umfangreichen Finanzdaten und intuitiven Tools bietet InvestingPro alles, was Anleger brauchen, um ihre Investments erfolgreich zu verwalten.
Doch das ist noch nicht alles – dank der Integration der ProPicks KI, die monatlich sechs Börsenstrategien mit über 100 Einzelaktien ausbalanciert, hebt sich InvestingPro deutlich von anderen Plattformen ab. Nachfolgend erfährst du, was InvestingPro zu bieten hat und warum es eine gute Wahl für deine Investmentstrategie ist.
Der freaky finance Rabatt: Ich konnte einen dauerhaften 15 %-Spezialrabatt für die freaky finance Community aushandeln! Das bedeutet: Das ist die perfekte Gelegenheit, um das gesamte InvestingPro-Paket mit einem ordentlichen Rabatt zu sichern. Greif jetzt zu und nutze das volle Potenzial von InvestingPro+ – alles, was du für kluge Entscheidungen und eine starke Anlagestrategie brauchst.
Momentan läuft der Christmas-Sale bei InvestingPro!
Das heißt: Aktuell gibt es bis zu 55 % Rabatt + zusätzlich 15 % Extra-Rabatt über meinen Empfehlungslink:
👉 Hol dir jetzt InvestingPro+ mit 55 % Rabatt plus 15 % Extra-Rabatt
Was du bei InvestingPro alles bekommst, kannst du dem beigefügten PDF entnehmen.
Ein Auszug:
- Unternehmensanalyse: Über 1.200 Kennzahlen.
- Fair-Value-Rechner: Berechnet den fairen Wert mit 16+ Modellen. Alles komplett individualisierbar.
- Fundamentale Charts: Visualisierungen zu Cashflow, Profitabilität & mehr.
- Qualitätscheck: 5-Punkte-Analyse zu Cashflow, Wachstum, Bewertung u. a.
- Pro Research: 10-seitige Aktienreports mit Bull-/Bear-Case und SWOT.
- WarrenAI: Antwortet auf Aktienfragen in Sekunden - direkt mit Pro-Daten.
- Markt-Updates: Tägliche News & Analysen zu wichtigen Unternehmen.
Hol dir jetzt InvestingPro+ – mit 55 % + 15 % Rabatt
Wenn du smarter, schneller und datenbasiert investieren willst, ist jetzt der perfekte Zeitpunkt. Du bekommst:
✅ WarrenAI – Deine Echtzeit-KI für Börsenfragen
✅ Pro Research – Analystenberichte auf Profi-Niveau
✅ ProTips – Blitzschnelle Einschätzungen auf einen Blick
👉 Hol dir jetzt InvestingPro+ mit 55 % Rabatt plus 15 % Extra-Rabatt
Zoetis: Zwischen Kursschwäche und Analysten-Euphorie – lohnt sich der Einstieg?
Zoetis notiert aktuell bei 116,03 US-Dollar und hat in den letzten 12 Monaten einen dramatischen Kursverlust von 33,6 % erlitten – das schwächste Jahr seit Langem. Trotz der Schwächephase sehen Analysten noch ein Aufwärtspotenzial von rund 31 % zum durchschnittlichen Kursziel von 161,03 USD.
🚨 Tiefpunkt mit Perspektive
Zoetis, Weltmarktführer in Tiergesundheit, kämpft 2025 mit enttäuschenden Osteoarthritis-Verkäufen, wachsender Konkurrenz und weniger Tierarztbesuchen. Der Kurs steht nahe dem 52-Wochen-Tief (115,25 USD) und hat über 5 Jahre sogar 23,4 % verloren. Trotzdem bleibt die operative Stärke: Die Marge des Nettogewinns liegt bei satten 26,9 %, die Eigenkapitalrendite bei beeindruckenden 50,9 % und der Free-Cashflow-Überschuss bei 3,1 %.
🧬 Innovationen als Kurstreiber?
Trotz jüngster Rückschläge bleibt Zoetis innovationsstark: Die Pipeline soll ab 2027 mit neuen Medikamenten in Onkologie, Kardiologie und Nierenmedizin zusätzliche 5 Mrd. US-Dollar Umsatzpotenzial erschließen. Jüngst erhielten die Osteoarthritis-Therapien Lenivia (Hund) und Portela (Katze) Zulassungen in Europa und Kanada, was kurzfristig für Kursimpulse sorgte.
⚖️ Bewertung, Dividende & Bilanz
Zwar ist Zoetis mit einem 2025er-KGV von 18,1 immer noch kein Schnäppchen und weist eine erhöhte Verschuldungsquote (143,2 % Debt/Equity) auf, glänzt aber mit stabiler Dividende (1,2 % Rendite, 13 Jahre in Folge erhöht) und solider Liquidität (Current Ratio: 1,8). Der PEG von 3,61 signalisiert Überbewertung gemessen am Gewinnwachstum.
🦾 Stärken, Schwächen & Chancen
Stärken:
- Branchenführerschaft, starke Margen, innovative Pipeline
- Kontinuierliche Dividendensteigerung und Aktienrückkäufe
- Analysten sehen weiterhin Gewinnwachstum (EPS-Prognose 2025: 6,39 US-Dollar)
Schwächen:
- Hohe Bewertung im Branchenvergleich
- Umsatzdynamik unter Druck, v.a. Osteoarthritis-Produkte
- Moderate Verschuldung, schwache kurzfristige Kursentwicklung
Chancen:
- Neue Therapien für Hunde/Katzen könnten ab 2026/27 stark anschieben
- Wachsende globale Tierhaltung und steigende Gesundheitsausgaben für Haustiere
- Potenzieller Rückenwind durch Schwächen der Konkurrenz
Risiken:
- Weitere Konkurrenzoffensiven und Preisdruck
- Wirtschaftliche Schwäche könnte Tierarztbesuche weiter belasten
- Regulatorische Hürden bei neuen Wirkstoffen
🔎 Fazit: Comeback möglich?
Zoetis steht an einem Scheideweg: Operativ solide, aber vom Markt abgestraft. Wer auf Innovationen und die Reaktion des Marktes auf neue Produkte vertraut, könnte hier einen attraktiven Turnaround-Kandidaten mit defensiver Grundausstattung finden. Das Chance-Risiko-Profil bleibt anspruchsvoll – die nächsten Quartale werden wegweisend.
Der Sparplan auf Jardine Cycle & Carriage mit 100 € läuft als einziger bei finanzen.zero*. Weil es vorerst nur der eine ist, führe ich ihn nicht wie die anderen als Screenshot auf.
Ich habe dir nachfolgend die Aktien-Sparpläne in Tabellenform zusammengefasst - zuerst die bei Trade Republic.
Bei Scalable Capital kann man zwar verschiedene Ausführungstage bestimmen, aber leider nur jeweils einen pro Monat und Aktie bzw. ETF.
Parqet
Seit einiger Zeit probiere ich Parqet für die Portfolioanalyse*. In meinen Monatsabschlüssen teile ich darüber auch mein REITs-Depot aus dem Projekt Wohnung Nr. 9. An dieser Stelle will ich mal mein Finanzen-Net ZERO-Depot zeigen, das ich im Februar 2023 wieder angefangen habe zu befüllen. Da sind einige schöne Dividendenaktien drin. Auch meine neuesten Käufe (in dem Depot) kannst du da sehen.
Parqet* bietet jetzt den sogenannten Autosync für die Verbindung mit Trade Republic*, Scalable Capital*, comdirect, Consors und ING an. Das heißt, dass bei Bedarf die komplette Transaktionshistorie bei den Brokern in die App gezogen wird. Ich habe es ausprobiert, und es hat wunderbar funktioniert. Eine echte Arbeitserleichterung!
👉 Link zur Visualisierung meines ZERO-Depots via
Parqet
👉 Link zu Parqet*, falls du es auch mal kostenlos ausprobieren oder 10 % auf die
kostenpflichtige Version mit mehr Funktionen sparen möchtest
👉 Link zu
Finanzen NET ZERO* (kostenlose Wertpapierkäufe ab 500 € Transaktionsvolumen und vieles mehr).
getquin
Ich habe unter anderem meine Sparplan-Depots mit getquin* verbunden, und du kannst sie dir auf diesem Wege ansehen und kommentieren. Natürlich nicht nur mein Depot. Dort gibt es eine große Community. Lade dir die kostenlose App runter und verbinde dein(e) Depot(s). Bei Interesse connecte dich mit meinem getquin-Profil. Du findest mich unter @freakyfinance
👉 Join the Investment Community!*
Hinweis: Link funktioniert nur am Smartphone!
Nachfolgend kannst du meine ETF-Sparpläne sehen.
Wertpapierkäufe
25 Stück Deutsche Telekom zu je 26,45 EUR
Kam von zwischendurch fast 35 EUR auf ein für mich kaufenswertes Niveau zurück.
Die Deutsche Telekom-Aktie notiert aktuell bei 27,24 € – das entspricht einem Rückgang von -2,5 % auf Jahressicht, trotz eines beeindruckenden Gewinnwachstums von 37,8 % pro Jahr (EPS, 3J-CAGR). Analysten sehen für die nächsten 12 Monate ein Kursziel von durchschnittlich 37,96 €, was ein Upside-Potenzial von 21,1 % bedeutet.
🚀 Überraschung: Gewinnwachstum trotz Kursschwäche
Gewinnrakete: Der Gewinn je Aktie (EPS) wuchs in den letzten drei Jahren um satte 37,8 % pro Jahr – ein Tempo, das selbst viele Tech-Aktien alt aussehen lässt. Auch der Umsatz legte solide 7,4 % pro Jahr (5-Jahres-CAGR) zu.
Dividendenstärke: Die Telekom hat ihre Dividende vier Jahre in Folge erhöht und zahlt seit 21 Jahren durchgehend aus – aktuell liegt die Dividendenrendite bei 2,7 % mit einer geplanten Erhöhung auf 1 € je Aktie.
Operative Power: Die EBITDA-Marge beträgt 34,3 %, der ROE attraktive 18,6 %. Zudem wird die Aktie mit einem moderaten KGV (2025e) von 13,4 gehandelt.
📉 Schwächen & Risiken: Stolpersteine am Weg
-
Kurs unter Druck: Die Aktie handelt nahe ihrem 52-Wochen-Tief (26,00 €), weit entfernt vom Hoch (35,91 €).
-
Rückläufiges Free Cashflow: Im Q3 sank der freie Cashflow um 9,2 %, unter anderem wegen hoher Investitionen in KI und Infrastruktur.
-
Hohe Verschuldung: Die Debt/Equity-Quote liegt bei 240,8 % – für Telekom-Konzerne typisch, aber ein Makel.
-
Prognose-Dämpfer: Für 2025 wird ein rückläufiges EPS (-10,4 %) erwartet; das Umsatzwachstum flacht laut Analysten auf nur 0,2 % ab.
💡 Chancen: Rückenwind für Optimisten
-
Starkes Analysten-Votum: 18 Analysten sehen ein durchschnittliches Kursziel von 37,96 € (Spanne: 33 € – 43,50 €) und stufen die Aktie mehrheitlich als „Strong Buy“ ein.
-
Shareholder-Return: Geplante Dividende plus Aktienrückkäufe summieren sich auf fast 7 Mrd. € für 2025.
-
US-Geschäft als Wachstumstreiber: Die US-Tochter T-Mobile wächst mit Rekordwerten und gleicht Schwächen im deutschen Heimatmarkt aus.
-
Geringe Volatilität: Die Aktie zeigt mit Beta 0,28 eine geringe Schwankungsanfälligkeit – das spricht für defensive Anleger.
1 Stück Rheinmetall zu 1.480,00 EUR
Zusätzlich startet ab Dezember ein Sparplan mit 100 € pro Monat auf diese deutsche Rüstungsaktie. Natürlich habe ich mich gefragt, ob die Aktie nicht schon viel zu stark gelaufen ist, um jetzt noch einzusteigen. Das wurde ich natürlich auch direkt in der freaky finance Cashflow-Lounge gefragt. Dort teile ich meine Transaktionen ja immer direkt mit den Mitgliedern, und es hat sich eine kleine Diskussion ergeben.
Frage eines Mitgliedes:
Ist die Aktie nicht überbewertet - und dann die aktuelle Friedensdebatte mit der Ukraine? Mutige Entscheidung.
Was meinst Du, wo die Reise hier hingeht?
Meine Antwort:
Natürlich eine absolut berechtigte Frage. Der Kurs ist ja schon etwas zurückgekommen. Friedensdebatte gibt es schon lange, bzw. immer mal wieder. Ich wünsche uns allen, dass der Krieg möglichst schnell vorbei ist. Aber die Aufrüstung wird dann erst richtig losgehen. Die Bundeswehr gab/gibt ja mit Blick auf den Ausrüstungsstand ein erbärmliches Bild ab. Die ganzen osteuropäischen Staaten haben Angst, dass sie als nächstes von Putin angegriffen werden und rüsten entsprechend auch auf. Der Krieg hat unzählige Kriegsfahrzeuge vernichtet, die ersetzt werden müssen. Die Munitionslager sind fast leer. Die Kriegsführung hat sich in den letzten Jahren sehr stark geändert. Stichwort Drohnen. Rheinmetall kann da sowohl auf der Angreiferseite (Teile und Munition für Drohnen) als auch auf der Verteidigungsseite (Drohnenabwehr und Schutz kritischer Infrastruktur) verdienen. Rheinmetall will die Automotive Sparte verkaufen und auch mehr in Luft- und Seeverteidigung machen. Ursprünglich hauptsächlich Land (Heer). Digitalisierung kommt auch in der Verteidigung. Ganz viel ist schon eingepreist und meine Annahme ist, dass noch nicht alles eingepreist ist. Ich habe EINE Aktie gekauft und ab Dezember startet ein Sparplan mit 100 € im Monat. Es wird wie fast immer nur ein ganz kleiner Anteil in meinem Depot...
Ein anderes Mitglied:
Da gibt's auch bestimmt bald mal wieder nen Split....ich habe meine Position knapp unter 2k aufgelöst.....Sparplan find ich absolut sinnig ....
Ich habe dann noch auf einen Podcast verwiesen, den ich dazu gehört habe und viele Kennzahlen, Charts und Grafiken gepostet.
Ein weiterer User:
Da stimme ich dir voll zu! Habe relativ zu Beginn des Angriffskrieges einen Sparplan gestartet, den aber in den letzten Monaten pausiert, weil ich der Meinung war,
dass der Wert zu stark gestiegen ist und der Depotanteil erstmal hoch genug war.
Gerade nach dem Rücksetzer finde ich den Wert jetzt auch wieder absolut kaufenswert!
Den Podcast habe ich auch gehört und danach noch ein bisschen gelesen. Rheinmetall besetzt gerade ALLE Segmente (Land, Wasser, Luft, Weltraum, Munition) und treibt
etliche Kooperationen voran.
Die Umsätze werden unabhängig vom weiteren Verlauf des Krieges wahnsinnig steigen.
Die Dividende wird steigen.
Ich bin von dem Wert total überzeugt und werde den Sparplan auch wieder starten.
Ursprünglicher Fragesteller:
Mega Infos. Top und vielen Dank. Für mich aber bei dem Kursniveau kein Kauf. Wünsche aber dennoch viel Erfolg.
Schließlich noch folgende Info von einem weiteren Mitglied:
Rheinmetall hat im ersten Halbjahr 2025 ca. 3.000 Stellen ausgeschrieben.
Es haben sich 120.000 Menschen beworben.
Das ordnet die Wachstumsphase und Relevanz auch nochmal gut ein.
100 Stück Gladstone Investment Corporation zu je 13,97 USD
Dieser Kauf erfolgte im Maximum Dividend Depot für mein Projekt Wohnung Nr. 7.
Das Hauptkriterium in dem Depot erfüllt die Aktie. Die Dividendenrendite liegt oberhalb der 10 %-Marke. Das darf aber natürlich nicht alles an Gründen für den Kauf sein.
🚀 Dividendenliebling mit Stabilität
Gladstone Investment Corporation ist ein Spezialist für Beteiligungen an kleinen und mittelständischen US-Unternehmen, mit Fokus auf reife Buyouts und kreditähnliche Investments. Seit 21 Jahren zahlt das Unternehmen zuverlässig Dividenden – aktuell satte 10,7 % Rendite. Die monatlichen Ausschüttungen gelten als äußerst beständig und sind für Einkommensinvestoren ein echtes Highlight.
📈 Umsatz- und Ergebnisentwicklung: Schwung mit Dellen
Umsatzwachstum:
- 2021: 56,63 Mio. US-Dollar
- 2022: 72,55 Mio. US-Dollar (+28,1 %)
- 2023: 81,54 Mio. US-Dollar (+12,4 %)
- 2024: 87,31 Mio. US-Dollar (+7,1 %)
- 2025: 93,66 Mio. US-Dollar (+7,3 %, Prognose)
Ergebnisentwicklung:
Das Nettoergebnis schwankte zuletzt stark: Von einem Rekordjahr 2022 (+686,9 % Gewinnwachstum) folgte 2023 ein Einbruch um -65,3 %, bevor 2024 erneut ein kräftiges Plus (+140,0 %) erzielt wurde. Im laufenden Jahr 2025 wird jedoch wieder ein Rückgang um -23,4 % erwartet – ein Zeichen für die zyklische Natur und das Risiko einzelner Investments.
🧐 Aktuelle Bewertung & Analystenblick
Der Aktienkurs liegt aktuell bei 14,02 USD (Schlusskurs 28.11.2025), während das durchschnittliche
Analystenkursziel bei 14,12 USD (Hoch: 14,50 USD) liegt – also kaum Kurspotenzial für die nächsten 12 Monate, was auf bereits
eingepreiste Erwartungen hindeutet.
Die Analystenempfehlung lautet „Buy“ (2,2). Die Marktkapitalisierung beträgt 555,84 Mio. USD.
✅ Stärken & Chancen
- Stabile Dividendenpolitik: 21 Jahre ohne Unterbrechung – ein seltener Rekord!
- Profitable Historie: Über die letzten 10 Jahre eine starke Performance.
- Wenig Kursvolatilität: Die Aktie schwankt weniger als der Markt (Beta 0,82).
- Positiver Track Record: Stetiges Umsatzwachstum und solide Nettoerträge.
⚠️ Schwächen & Risiken
- Operative Schwankungen: Gewinn und EPS zeigen teils starke Ausschläge – Risiko für Dividendenkontinuität.
- Liquiditätsrisiko: Kurzfristige Verbindlichkeiten übersteigen die liquiden Mittel (Current Ratio: 0,5x).
- Bewertung: Kaum Kursfantasie – Analystenziele sind fast erreicht.
- Wachstum begrenzt: Umsatzwachstum verlangsamt sich, große Sprünge sind nicht zu erwarten.
🕵️♂️ Relevante News & Ausblick
- Anstehende Rückzahlung: Alle 8,00 %-Notes 2028 werden am 16.12.2025 zurückgezahlt – das verbessert die Bilanzstruktur, aber reduziert auch die Zinsaufwendungen.
- Neue Anleihe: Emission von 60 Mio. USD in 6,875 %-Notes bis 2028 – Zinsaufwand bleibt hoch, aber Refinanzierung gesichert.
- Jüngste Quartalszahlen: EPS lag mit 0,11 USD deutlich unter den Erwartungen (Prognose: 0,228 USD), Umsatz aber leicht über Plan.
🏁 Fazit
Gladstone Investment bleibt ein Dividendenfavorit mit stabiler Bilanz und Fokus auf kontinuierliche Ausschüttungen. Das Kurspotenzial für die nächsten 12 Monate erscheint begrenzt, aber die defensive Ausrichtung und der verlässliche Cashflow machen GAIN attraktiv für Einkommensanleger – sofern sie mit gelegentlichen Gewinndellen leben können.
200 Stück Conagra Brands zu je 22,00 USD
Diese Aktien sind mir über Cash Secured Puts ins Depot eingebucht worden.
Die Aktie notiert aktuell bei 17,12 USD – das ist über 34 % tiefer als vor einem Jahr, während Analysten ein Kursziel von durchschnittlich 20,22 USD (+18 %) sehen. Die Dividendenrendite liegt bei üppigen 6,4 % – doch hinter den Zahlen verbirgt sich ein komplexes Bild aus Chancen und Risiken.
📉 Kursrutsch trotz solider Dividende
Conagra hat in den letzten Jahren enttäuscht: Die Aktie verlor in den letzten 12 Monaten -34,3 % und über 3 Jahre sogar -47,4 %. Auch der Umsatz schrumpfte zuletzt um -3,6 % und der Gewinn fiel von 1,3 Mrd. USD (2021) auf 347 Mio. USD (2024), bevor er sich 2025 wieder leicht auf 1,15 Mrd. USD erholte.
🏦 Stärke: Cashflow, Dividende & Bewertung
- Dividendenrendite 6,4 % – und das bei 50 Jahren Dividendenhistorie sowie 5 % Wachstum p.a. über 5 Jahre.
- Free Cashflow Yield 13,2 % – signalisiert starke Mittelzuflüsse.
- Niedriges Kurs-Gewinn-Verhältnis (KGV) von 9,7x (forward) – günstiger als viele Konkurrenten.
- Hoher Shareholder Yield 11,8 % dank Aktienrückkäufen und Dividenden.
- Analysten sehen laut Fair Value ein Aufwärtspotenzial von 13 – 21 %.
⚠️ Schwächen & Risiken: Schrumpfende Gewinne, hoher Verschuldungsgrad
- Nettogewinn 2021 – 2024: -73 %; Erholung 2025, aber keine Rückkehr zu alten Höhen.
- Schwaches Umsatzwachstum: 5-Jahres-CAGR bei nur 1 %, 3-Jahres-Prognose sogar negativ.
- Hohe Verschuldung: Debt/Equity bei 93 %, Current Ratio nur 0,7 – geringe Liquidität.
- Margendruck: EBIT-Marge rückläufig, Gewinnmargen unter Druck durch Inflation und Handelskonflikte.
- Stark unter Index-Entwicklung: Beta -0,02, Kursentwicklung entkoppelt vom Gesamtmarkt.
🚀 Chancen: Turnaround & niedrige Bewertung
- Restrukturierung: Management setzt auf Wachstum bei Tiefkühlkost und Snacks, Innovationen, Effizienz und Schuldenabbau (700 Mio. USD angestrebt).
- Service-Level wieder auf 98 – 99 %: Nach Lieferproblemen zeigen sich erste operative Verbesserungen.
- Analysten-Meinung: 13,6 – 21,2 % Kurspotenzial, Mehrzahl der Analysten auf „Halten“ (2,9er Konsensnote).
🧨 Risiken: Margendruck & strukturelle Herausforderungen
- Schrumpfende Margen durch Inflation, Zölle und Preisdruck im Handel
- Nachlassende Nachfrage bei traditionellen Marken
- Hohe Verschuldung schränkt Flexibilität ein
- Langfristige Gewinnprognosen negativ (-4,3 % p.a.)
📊 Daten-Snapshot
🏁 Fazit: Dividendenperle mit Turnaround-Kandidat
Conagra ist ein klassischer Value-Turnaround: Wer auf stetige Dividenden und eine mögliche Kurserholung bei niedriger Bewertung setzt, findet hier Chancen – doch das operative Risiko bleibt hoch. Ohne klare Trendwende bei Umsatz und Gewinn bleibt die Aktie ein Fall für geduldige Investoren, die Schwankungen aushalten.
Informationen über hoch ausschüttende Wertpapiere:
👉 REITs - Diversifikation und Dividenden durch Immobilienaktien
👉 Wie du mit Preferred Stocks von regelmäßigen Ausschüttungen profitierst
👉 Royalty Trusts: Rohstoffe und Dividenden gemeinsam ins Portfolio packen
👉 Business Development Companies: US-Fonds für Einkommensinvestoren
👉 Closed-end Funds: Dividendenstarke Alternative zu ETFs für fast jede Investmentstrategie
Auch im Hochdividenden-Depot und im Dividendenwachstums-Depot sind die Lounge-Mitglieder und ich im November wieder tätig geworden. Alle Sessions werden aufgezeichnet und stehen den Mitgliedern dadurch dauerhaft zur Verfügung.
Aufbau eines Hochdividenden-Depots
Falls du dich für den Aufbau eines Hochdividenden-Depots interessierst:
In meinem Mitgliederbereich, der freaky finance Cashflow-Lounge, sind wir seit September 2022 dabei, dies zu tun. Vielleicht hast du Lust, bei unseren regelmäßigen Zoom-Sessions dabei zu sein und dich entweder aktiv mit einzubringen oder passiv von unseren Ideen und Recherchen zu profitieren. Wir haben gewisse Kriterien für die Wertpapiere, die wir in das Depot aufnehmen wollen, festgelegt und screenen nun ständig den Markt nach aussichtsreichen Titeln für unsere Kandidatenliste. Nach und nach entsteht so ein qualitativ hochwertiges und hochausschüttendes Depot.
Selbstverständlich kann jederzeit noch dazugestoßen und eine Mitgliedschaft erworben werden. Die Sessions zeichne ich auf. Neue Mitglieder erhalten Zugang zu den Aufzeichnungen und allen nötigen Informationen.
👉 Infos und Beitrittsmöglichkeit zur freaky finance Cashflow-Lounge
Ende November 2023 war in der Lounge zusätzlich der Kick-Off für den Aufbau eines Dividendenwachstums-Depots. Ein weiterer Grund, dich in die freaky finance Cashflow-Lounge zu begeben!
👉 Infos und Beitrittsmöglichkeit zur freaky finance Cashflow-Lounge
Die Abonnenten der Finanzbombe erhalten jeden Freitag mein kostenloses Wochenupdate per E-Mail, in dem ich meine aktuellen Käufe und Verkäufe der Woche kundtue.
Die aktuelle Finanzbombe kannst du über diesen Link lesen.
Die Themen der Woche sind:
🔥 Black Friday eskaliert: Mega-Deals, Cashflow-Boosts & ein persönliches Update, das viele überraschen wird! |
Heiße Depot-Moves, neue Chancen durch die Dividenden-Offensive, starke Cashflow-Storys, spannende Entwicklungen im Transporter-Business
🔥 Black Friday & Cyber Monday brennen, Investments laufen, Cashflow steigt – und ich teile ein persönliches Update, das viele überraschen wird 🚀
💣 Finanzbombe!
🔥 Cashflow
🏠 Vermietung
📈 Depot-Updates
🥵 Persönliche Storys
Jetzt lesen & auf den neuesten Stand kommen!
📩 Lesenswert & unterhaltsam:
Wenn du noch schneller über Neuigkeiten im freaky finance Universum und rund um meine Finanzen informiert werden möchtest, dann abonniere bitte meinen Broadcast-Channel beim Messenger-Service Telegram.
👉 folge dazu diesem Link: https://t.me/freaky_finance_Broadcast
oder WhatsApp:
👉 folge dem freaky finance WhatsApp Kanal
Meine Wertpapierverkäufe
100 Stück Schlumberger zu je 36,00 USD
und
100 Stück iShares Russel 2000 ETF (IWM) zu je 225,00 USD
Die Anteile wurden jeweils über einen Covered Call ausgebucht.
Bei Schlumberger hat das Wheel sehr gut funktioniert. Unter Berücksichtigung der Prämie für den initialen Put, der die Aktien ins Depot geholt hat, und der monatlich verkauften Covered Calls sowie aller Gebühren hat diese Trade-Kampagne über das letzte halbe Jahr einen Profit von 245,77 EUR gebracht.
Der IWM ging mit 2.352,15 EUR Gewinn aus dem Depot. Dabei sind die unzähligen Covered Call-Prämien der letzten Jahre noch nicht berücksichtigt.
Meine Dividenden im November
Die von mir vereinnahmten Ausschüttungen aus Wertpapieren beliefen sich im November auf 1.985,01€ (brutto).
Der Vorjahres-Monat konnte um 12,94 % überboten werden. In diesem Jahr habe ich bisher nur einen Monat, in dem die Dividenden gegenüber dem Vorjahresmonat rückläufig waren - das aber hauptsächlich, weil sich Ausschüttungstermine in andere Monate verschoben haben. Im Schnitt beträgt die Steigerung in diesem Jahr bisher ca. 37 % pro Monat!
Inzwischen habe ich 2025 bereits mehr Dividenden vereinnahmt als im gesamten Jahr 2024 und die 35.000 € Grenze überschritten!
Ein Ziel von mir ist es seit diesem Jahr immer, über 1.500 € Dividende pro Monat zu erhalten. Außerdem möchte ich mit meinem Projekt "monatliches Grundrauschen erhöhen" allein mit Monatszahlern 1.000 € (brutto) pro Monat kassieren. Diese Hürde ist bei mir sowie nur in ganz wenigen Monaten in Gefahr. Im Normalfall überspringe sie relativ sicher, obwohl ich sie jedes Jahr anhebe.
Die folgende Grafik zeigt die Einnahmen (2025 hellgrau) in einem Balkendiagramm pro Monat und die Vergleichswerte aus den Vorjahren (2017 blau; 2018 orange; 2019 grau; 2020 goldgelb; 2021 dunkelblau; 2022 grün; 2023 hellblau; 2024 lila).
Das Diagramm ist durch Anklicken vergrößerbar!
Auf Jahresbasis seit 2017 sieht das so aus, wie in der obigen Grafik dargestellt.
Mein Dividendenziel für dieses Jahr hatte ich im Artikel für meine Jahresziele 2025 verraten.
Was Dividenden angeht, habe ich auch in Zukunft noch einiges vor! Mit dem oben erwähnten Aufbau der Dividenden-Depots in der Lounge nehme ich zukünftige Dividendenerträge noch stärker in den Fokus.
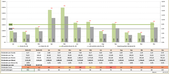
Stand heute komme ich nach der aktuellen Zusammensetzung meines Einzelaktiendepots laut der Prognose in der Dividendenstrategie Tool-Box Pro + von Krawattenlos* (mit dem Code "freaky_finance" sparst du 20 € auf das Jahresabo!) zukünftig mit 953 Ausschüttungen auf über 36.657 € (brutto) Dividenden pro Jahr von meinen Aktien - inzwischen habe ich übrigens auch die meisten ETFs und Fonds integriert.
Einige CEFs und ETFs lassen sich aber in das Tool nicht einpflegen. So fehlen in der Auswertung beispielsweise der SPDR Bloomberg 1-3 Month T-Bill ETF (BIL) und der iShares 0-3 Month Treasury Bond ETF (SGOV).
Die Prognose kannst du im nächsten Bild sehen. Durch Anklicken ist die Grafik vergrößerbar!
Dann erkennst du an dem grauen horizontalen Balken meine durchschnittliche monatliche Nettodividende. Das Tool zeigt jetzt über 2.300 € Netto-Dividende im Monat an. Nimmt man noch die Ausschüttungen der oben genannten Wertpapiere mit rein, die sich nicht ins Tool integrieren lassen, so bekommt man nochmal etwas mehr raus. Das ist mehr, als ich für meinen bescheidenen Lebensstil benötige.
Optionshandel
🔥 Berg- und Talfahrt im November
Die Performance des S&P 500 war im November 2025 unter dem Strich quasi eine Nullnummer. Der Monat schloss nahezu auf dem gleichen Niveau, auf dem er gestartet war. Allerdings lag dazwischen eine deutliche Talfahrt, die dann aber zum Monatsende komplett wieder gekauft wurde.
Entwicklung und Performance
Der S&P 500 startete den November nach einem starken Oktober zunächst mit Gewinnen, gab dann aber im Laufe des Monats deutlich nach und verzeichnete die größte Korrektur seit April. In der letzten Handelswoche erholte sich der Index jedoch wieder und konnte den Monat letztlich positiv abschließen. Die YTD-Rendite betrug Ende November rund 16,45 %, was trotz der Korrektur weiterhin auf ein solides Jahr für US-Aktien hindeutet.
Marktrelevante Ereignisse
Wichtige Ereignisse im November waren eine erhöhte Verkäuferaktivität und Gewinnmitnahmen, insbesondere im Technologiebereich, wo die AI-Aktien unter Druck gerieten. Gleichzeitig profitierte der Gesundheitssektor mit einem Plus von 9,3 % von positiven regulatorischen Entwicklungen und erreichte neue Allzeithochs. Die Stimmung an den Märkten wurde auch von erwarteten Steuererleichterungen und steigenden Steuerrückerstattungen in den USA ab 2026 beeinflusst, die die Konsumnachfrage stützen sollen.
Fazit
Der November 2025 war ein typischer Volatilitätsmonat mit kurzfristigen Schwankungen, bei dem letztlich die Bullen die Oberhand zurückgewannen. Die Entwicklung zeigt, wie robust der Markt trotz einzelner Rücksetzer bleibt und wie sich die Stimmung durch makroökonomische und politische Impulse schnell drehen kann.
Der zwischenzeitliche Druck auf die Kurse brachte einige meiner eh schon länger schlecht laufenden Optionen dann so unter Druck, dass Anpassungen sinnvoll erschienen. Ich habe Risiko herausgenommen, indem ich Positionen entweder gerollt oder ganz geschlossen habe. Schließlich war nicht absehbar, dass der Markt direkt wieder dreht.
Somit ist der November mein schlechtester Monat im Optionshandel in diesem Jahr. Ich muss dieses Ergebnis nicht feiern, aber ich stelle zufrieden fest, dass ich die Schwankungen in meinen Optionsergebnissen im Vergleich zu früheren Jahren deutlich geglättet habe. Damit bin ich sehr zufrieden!
Zu Buche stehen unter dem Strich -1.936,64 € als Ergebnis für den November.
Optionssprechstunde - Der Podcast für Aktien, Börse und Optionshandel!
Im Podcast "Optionssprechstunde" spreche ich mit Thorsten Eberhart von Options4Winners über den Optionshandel. Wir sind der Meinung, dass diese Königsdisziplin des aktiven Börsenhandels im deutschsprachigen Raum zu Unrecht ein Nischendasein fristet und wollen so einen Beitrag dazu leisten, dies zu ändern. Aber auch allgemeine sowie aktuelle Themen rund um Aktien und Börse kommen immer wieder zur Sprache, wenn wir beide uns unterhalten.
In der 1. Content-Folge der Optionssprechstunde klären wir die Frage, was der Optionshandel überhaupt ist und sprechen über die Grundlagen dieser Königsdisziplin an der Börse. Diese Grundlagenfolge haben wir auf 2 Teile aufgeteilt. Das heißt, du solltest dir im Anschluss Teil 2 und gerne auch alle weiteren Folgen anhören!
👉 Optionssprechstunde: Was ist der Optionshandel? Grundlagen Teil 1
Abonniere unseren Podcast auf Apple, Spotify oder der Podcast-Plattform deiner Wahl!
👉 zur Optionssprechstunde auf Spotify
👉 zur Optionssprechstunde für Apple-User
STILLHALTER-Brief Depot
Im STILLHALTER-Brief-Depot weist der Broker für den November einen Verlust in Höhe von -346,07 EUR aus.
👉 Jetzt STILLHALTER-Brief Abonnent werden und mitverdienen
REITs-Optionen Depot
Im Rahmen meines Projektes Wohnung Nr. 9 führe ich ein weiteres Unterdepot, in dem ich ausschließlich Positionen mit Immobilienbezug handle.
Im November gab es hier einen Verlust in Höhe von -193,86 EUR.
Großes Depot für den Optionshandel
In meinem Hauptdepot gab es im November einen Verlust in Höhe von -1.452,38 EUR.
Kleines Depot (ehemals Battle-Depot)
Das kleine Depot spielte im Jahr 2021 eine Hauptrolle in meinem gemeinsamen YouTube-Format mit dem Geldkapitän. In der folgenden Playlist sind die Videos zusammengefasst. Wir haben uns dort mit unseren 5k Depots ein Jahr lang in Livestreams einen Wettkampf geliefert und Zuschauerfragen beantwortet. Schau mal rein!
👉 Playlist: Freak meets Captain: Options TV LIVE
Dieses Depot musste sich erstmal von den Folgen des Battles erholen. Über Monate habe ich fast ausschließlich über Calls auf den Bestand Prämien generiert. Danach konnte ich auch wieder regelmäßig Short Puts ins Rennen schicken. Schau gerne in das öffentliche Trading-Logbuch für dieses Depot. Dort ist von Beginn an jede Transaktion dokumentiert.
👉 mein Trading-Logbuch (kleines Depot)
Im November konnte hier ein minimaler Gewinn in Höhe von 7,99 EUR erzielt werden.
Maximum Dividend Depot
Im Zusammenhang mit meinem Projekt Wohnung Nr. 7 gibt es seit Februar 2025 das Maximum Dividend Depot. Hier kommen auch vereinzelt Optionen zum Einsatz, weswegen ich das Depot in die Übersicht aufgenommen habe.
Im November gab es in diesem Depot einen Ertrag von 47,68 EUR.
Gesamtergebnis aus dem Optionshandel
Insgesamt steht aus den verschiedenen Depots für den November ein Verlust von -1.936,64 EUR aus dem Handel mit Optionen zu Buche.
Hier meine Ergebnisse auf Monatsbasis, seit ich in den Optionshandel eingestiegen bin (durch Anklicken vergrößerbar!):
Exklusiv: Der O4W Best Indicator mit 10 % Rabatt!
Den O4W Best Indicator von Thorsten Eberhart (Options4Winners) hatte ich schon mal mit Thorsten zusammen in einem Video vorgestellt. Seitdem leistet mir das Tool gute Dienste.
👉 O4W Best Indicator🚀: Kauf & Konfiguration inklusive Tipps zum Start vom Entwickler Thorsten Eberhart
Thorsten bietet der freaky finance Community exklusiv einen 10 % Rabatt auf den O4W Best Indicator an*!
Falls du dich für dieses bockstarke Tool interessierst und von dem Rabatt profitieren möchtest, dann kannst du dir den Indicator über folgenden Link direkt sichern.
👉 O4W Best Indicator mit 10 % Rabatt erwerben!*
Nutze den Rabattcode: Prozent10_freaky
DER MEHRWERT FÜR DICH:
- Hervorragend geeignet für den Optionshandel
- Hohe Trefferquote durch optimale Signale für Ein- und Ausstiege
- Nutzbar für alle Märkte: Aktien, ETFs, Forex, Commodities
- Sofort anwendbar ohne jegliche Vorkenntnisse in Chartanalyse
- Automatische Überwachung beliebig vieler Märkte
- Keine Abofalle. Zugang endet automatisch nach einem Jahr
Schau dich auch gerne im Options4Winners-Shop* um. Bei einigen Angeboten erhältst du 10 % Rabatt, wenn du den Gutscheincode Prozent10_freaky bei der Bestellung eingibst.
Und du so?
Wie ist der November für dich gelaufen? Wie entwickeln sich deine Dividendeneinnahmen? Oder hältst du die Dividendenstrategie für eine Milchmädchenrechnung? Bist du auch im Bereich Optionshandel am Start und hast ordentliche Prämieneinnahmen oder kommst so sogar günstiger an Aktien?
Berichte in den Kommentaren gerne von deinen Erfahrungen, Erfolgen und Fehlern. Bei mir geht auch immer mal wieder was schief, und ich teile hier im Blog auch meine Misserfolge:
Geschlossene Beteiligungen fasse ich nie wieder an, eine Aktie kann auch innerhalb weniger Stunden nach dem Kauf mal 28 % einbrechen und beim Optionshandel war mein Desaster im Vergleich wohl nicht der Rede wert - andere haben da schon ganze Depots an die Wand gefahren.
Also immer schön auf der Hut sein, nicht zu gierig werden, und Diversifikation ist meiner Meinung nach immer eine gute Idee!
Werde Teil der Freak Nation Community!
Hat dir der Artikel gefallen?
Abonniere mein Wochenupdate "Die Finanzbombe". Das kannst du auch oben rechts in der Sidebar erledigen. So verpasst du keine neuen Inhalte und bekommst zusätzlich nützliche Tipps.
Wenn du noch schneller über Neuigkeiten im freaky finance Universum und rund um meine Finanzen informiert werden möchtest, dann abonniere bitte meinen Broadcast-Channel beim Messenger-Service Telegram.
👉 Folge dazu diesem Link: https://t.me/freaky_finance_Broadcast
oder WhatsApp:
👉 zum freaky finance WhatsApp Kanal
Kennst du schon meine Empfehlungsseite?
Viele Produkte und Dienstleistungen, die ich selber nutze und sonst noch empfehlen kann, findest du ganz exklusiv hier:
👉 zur freaky finance Empfehlungsseite
Meine Käufe und Verkäufe gibt es in Echtzeit in der freaky finance Cashflow-Lounge. Dort wurden auch weitere Teile des umfangreichen Finanzkurses freigeschaltet. Was die Lounge sonst noch zu bieten hat, erfährst du auf der entsprechenden Unterseite:
👉 Die freaky finance Cashflow-Lounge - der exklusive Memberbereich
Die freaky finance Telegramgruppen:
Wenn du magst, folge den Links und komm einfach dazu:
👉 Telegram-Gruppe "Optionshandel für Anfänger" (ca.1.500 Mitglieder)
👉 Aktien, Dividenden und Diverses (ca.1.200 Mitglieder)
Titelbild: pixabay.com ©postman85 und ©geralt (CC0 Creative Commons; bearbeitet von V. Willkomm)
Das könnte dich auch interessieren
auch interessant
* = Affiliate Link
Transparenz: Bei mit einem * gekennzeichneten Link handelt es sich um einen Affiliate Link. Wenn du dich über einen solchen Link anmeldest oder etwas kaufst, hast du dadurch keinerlei Nachteile und bekommst vielleicht sogar ein kleines Startpräsent o.ä. - vor allem unterstützt du damit aber meinen Blog.
Und dafür sage ich an dieser Stelle bereits DANKE!

















Kommentar schreiben